Un pistolet à eau dans un système de chauffage ou un diviseur de débit est un dispositif spécial utilisé pour le fonctionnement coordonné de ses dispositifs et circuits constitutifs. C'est une sorte de collecteur qui régule la pression du liquide dans chacun des canaux d'eau. L'appareil tire son nom de sa similitude fonctionnelle avec un aiguillage ferroviaire.
Avantages et inconvénients

Les avantages des distributeurs hydrauliques pour les systèmes de chauffage comprennent :
- obtenir le rapport optimal des flux de liquide de refroidissement dans les canalisations directes et de retour ;
- la possibilité d'installer une pompe de circulation de faible puissance - réduisant le coût des équipements et de l'énergie électrique;
- réduction des charges hydrauliques dans les éléments du système de chauffage ;
- prolongation de la durée de vie;
- la capacité d'éliminer l'air des canaux.
Il n'y avait pas de défauts évidents dans le séparateur hydraulique. Mais il y a quelques limitations dans l'application pratique. Les inconvénients de ces appareils incluent:
- interdiction de travailler dans le cadre d'équipements pour chaudières à combustible solide;
- l'impact sur la fonctionnalité de la flèche de la puissance déclarée de la chaudière - avec son augmentation, la fiabilité de son fonctionnement diminue.
Dans ce cas, le temps de fonctionnement sans problème du produit est également réduit.
Dispositif séparateur

Extérieurement, le séparateur ressemble à un morceau de tuyau avec une section rectangulaire (moins souvent - circulaire) et deux bouchons à ses extrémités opposées. Cette conception est connectée à la chaudière avec de petits tuyaux et comporte plusieurs autres robinets sur le côté. En vente, il existe des produits de différentes formes et tailles avec un appareil simple. Mais il existe des modèles universels qui, selon leur destination, remplissent deux fonctions à la fois : un collecteur et un séparateur de flux.
La flèche hydraulique "classique" pour le chauffage est réalisée sous la forme d'un cylindre en acier et comporte plusieurs tuyaux de dérivation, dont la taille est prise en compte par la section interne. Il est généralement monté verticalement, mais peut être installé horizontalement si nécessaire. La position verticale est plus couramment utilisée car il est plus facile d'éliminer les impuretés et d'évacuer les gaz dans cette position.
Dans la plupart des cas, la flèche est une structure soudée à base de tuyaux en acier, mais la possibilité de la fabriquer à partir d'ébauches en cuivre ou en polypropylène n'est pas exclue.
Caractéristiques supplémentaires

Les caractéristiques du fonctionnement du circuit de chauffage avec une flèche hydraulique offrent à l'utilisateur les possibilités supplémentaires suivantes :
- Lorsque le flux de liquide pénètre dans les canaux du séparateur, sa vitesse diminue légèrement. Cela contribue au dépôt d'impuretés nocives sur le fond, qui sont toujours présentes dans le liquide de refroidissement.
- Pour l'élimination périodique des sédiments accumulés dans la partie inférieure du corps, il existe une vanne séparée.
- La réduction de la vitesse du courant permet d'éliminer de l'eau les bulles d'air présentes dans l'eau. Ils sont éliminés par une vanne automatique.
Dans ce dernier cas, la flèche hydraulique sert de séparateur.
Dans les réseaux avec chaudières en fonte, le répartiteur de débit remplit la fonction de protection supplémentaire.S'il y a un séparateur hydraulique, l'eau froide n'entrera pas dans l'échangeur de chaleur, ce qui peut endommager les éléments chauffants.
Principe d'opération

Les réseaux de chauffage ne sont pas en mesure de fonctionner correctement, car les circuits sont conçus pour des performances individuelles et un indicateur spécifique de la pression du transporteur. Le principe de fonctionnement de la flèche hydraulique est basé sur les caractéristiques de conception, grâce auxquelles la résistance à l'écoulement de l'eau dans le corps de l'appareil est minimale. Cette propriété permet de ne pas réduire la vitesse du transporteur, réduisant considérablement les pertes de chaleur dans l'ensemble du réseau.
En fait, le distributeur est une sorte de tampon séparant l'équipement de chauffage (chaudière) et la partie consommateur du collecteur. De par son application, chaque pompe individuelle fonctionne de manière autonome, sans perturber l'équilibrage des canaux.
Le collecteur à faibles pertes pour le chauffage est conçu pour séparer les flux individuels du circuit total et coordonner leur fonctionnement commun.
Méthodes de calcul du séparateur
Avant d'installer la flèche hydraulique, le calcul des éléments structurels individuels est requis. Lors de sa réalisation, les facteurs suivants doivent être pris en compte :
- la consommation du caloporteur dans le système d'exploitation;
- puissance thermique développée dans chacun des circuits.
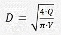
Lors des calculs, la capacité calorifique du fluide de travail et la différence de température du porteur d'eau dans les canaux de retour et d'alimentation sont également prises en compte. Le résultat requis est calculé à l'aide de la formule suivante :
où D est le diamètre requis du produit, Q est la valeur moyenne du débit d'eau (m3 / s), π est la constante classique, et V est le débit du liquide dans le sens vertical (à un débit de 0,1 mètre par seconde).
Lors de l'auto-assemblage des flèches et du calcul des paramètres optimaux, ils agissent selon le schéma obtenu empiriquement :
- Pour trouver le diamètre intérieur, la somme de toutes les capacités de la chaudière de travail en kilowatts est prise et divisée par la différence des indicateurs de température dans l'alimentation directe et dans le retour.
- Vous devrez extraire la racine carrée du résultat, puis multiplier le total par le nombre 49.
- Pour trouver la taille de l'écart entre les buses, multipliez le diamètre intérieur par deux.
Pour déterminer la hauteur du corps de vanne, le même diamètre est multiplié par six.
Flèche hydraulique combinée

Pour connecter des circuits de chauffage sur des objets d'une superficie supérieure à 150 m², à la place du séparateur habituel, qui s'avère encombrant, des peignes spéciaux sont utilisés. Ils représentent une conception séquentielle qui combine les capacités d'une flèche hydraulique et d'un collecteur pour le chauffage, qui sont reliés pour cela à des ponts en acier. Le nombre de buses doubles est sélectionné égal au nombre de circuits (ils seront nécessaires dans quelques pièces). Les avantages de cette combinaison incluent :
- La réparation et le fonctionnement de l'ensemble du système de chauffage sont simplifiés. La structure de petite taille ne prendra pas trop de place dans la pièce.
- L'arrêt ainsi que la partie de régulation du jeu de vannes peuvent être placés en un seul endroit.
- En raison du diamètre accru du canal collecteur, le caloporteur est réparti uniformément le long des contours.
Pour organiser la tuyauterie avec cette approche, des sorties de montage spéciales sont utilisées, dont certaines sont destinées au circuit des radiateurs et les autres au raccordement du chauffage par le sol.
Les caractéristiques de la conception combinée incluent la présence d'un échangeur de chaleur spécial, ainsi que l'installation d'une vanne d'équilibrage séparée entre les collecteurs directs et de retour.
Procédure d'auto-fabrication

Pour assembler une flèche à chauffer de vos propres mains, vous devez d'abord effectuer des calculs théoriques, après quoi des dessins et des schémas de travail sont préparés.Il est préférable de confier cette partie des activités préparatoires à un chauffagiste ayant la formation théorique nécessaire. Une personne qui décide de fabriquer une flèche de ses propres mains doit avoir les compétences nécessaires pour effectuer des travaux de soudage.
L'assemblage de toute modification de la flèche hydraulique est basé sur la règle des "3 diamètres". La taille utile des tuyaux de dérivation est choisie trois fois inférieure au diamètre du cylindre principal du distributeur. Ils sont situés diamétralement opposés et leur hauteur est liée au calibre principal. Une variante est possible dans laquelle les robinets sont réalisés par ce que l'on appelle "l'échelle", ce qui permet d'augmenter l'efficacité d'évacuation des gaz et d'évacuation des suspensions insolubles. De plus, le choix d'une telle conception lors de l'auto-assemblage contribue au mélange normal des flux.
Le rapport de leurs emplacements est le mieux choisi pour que la vitesse de déplacement du flux vertical atteigne 0,2 mètre par seconde. Selon la réglementation en vigueur, il est inacceptable de dépasser cette limite, car alors les débits d'eau n'ont pas le temps de se mélanger. Et cela se heurte à l'apparition d'un gradient de température et à une détérioration des conditions de répartition des flux.
Si vous avez l'intention de créer un système de chauffage à plusieurs circuits avec différentes températures du liquide de refroidissement, vous devrez assembler une flèche combinée (avec un collecteur).
Dans ce cas, il est préférable de choisir un schéma horizontal qui, contrairement à l'analogique vertical, n'est pas si courant chez les amateurs et les professionnels. Mais dans cette situation, les problèmes d'efficacité de fonctionnement du système de chauffage passent au premier plan, et non la commodité de son entretien, de son nettoyage et de sa réparation.









