Les radiateurs en acier Prado sont fabriqués par JSC NITI Progress. Les installations de production sont situées dans la ville d'Ijevsk. La conception des appareils de chauffage a été développée par des spécialistes russes. Le premier lot est apparu sur le marché en 2005. Dans une entreprise moderne, les processus d'emboutissage sont automatisés et des technologies de soudage de haute qualité sont utilisées. La production de radiateurs panneaux est sous contrôle constant. Les produits ne sont pas de qualité inférieure à leurs homologues étrangers.
Les principaux avantages des radiateurs

Les échangeurs de chaleur en acier Prado sont conçus pour les systèmes de chauffage de l'eau. Ils sont installés dans les maisons privées, les bâtiments administratifs et publics. Les produits conviennent aux systèmes monotubes et bitubes. Ils sont constitués de deux flans emboutis d'une épaisseur de 1,2 mm, reliés par soudage par points. Des canaux pour le liquide de refroidissement sont formés à l'intérieur de l'appareil. Autour du périmètre des pièces du radiateur sont soudées avec une couture continue. Une grille est installée sur le dessus, permettant à l'air chaud de passer sans entrave. Les produits finis sont enfermés dans un film qui les protège pendant le transport et l'installation.

Les radiateurs Prado présentent des avantages par rapport aux modèles d'appareils de chauffage en aluminium et en fonte.
- Les appareils sont fabriqués dans des matériaux résistants à la corrosion.
- Utilisation d'ailettes en acier pour augmenter le transfert de chaleur.
- Durabilité et fiabilité de la peinture réalisée par la méthode d'anaphorèse électro-submersible.
- Le radiateur chauffant Prado peut supporter des pressions jusqu'à 13,5 atmosphères, soit une valeur nominale de 9 atmosphères.
- Design attrayant et ergonomique. Sur une commande individuelle, vous pouvez choisir une couleur qui correspond à la gamme de l'intérieur.
- Le faible poids des appareils permet leur fixation sur un mur en placoplâtre.
L'antigel est autorisé comme liquide de refroidissement. Contrairement aux batteries en aluminium, les produits Prado n'ont pas de pièces en caoutchouc qui sont détruites par des liquides corrosifs.
Les appareils de chauffage sont vendus prêts à l'emploi. Ils sont équipés de bouchons, de vannes thermostatiques, de robinets Mayevsky. Les supports de montage sont inclus dans l'emballage.
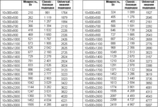
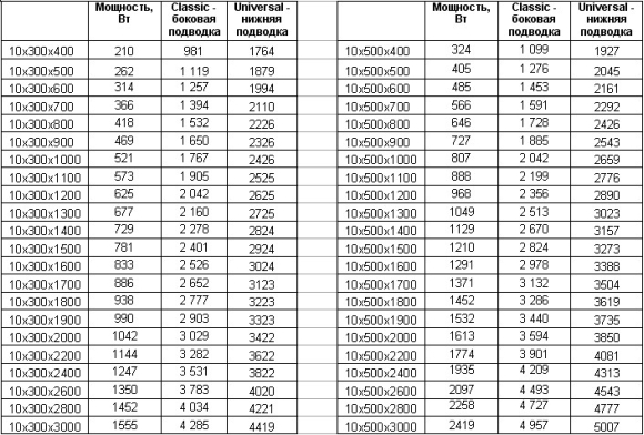
Caractéristiques

Lors de la connexion des appareils de chauffage Prado au système d'un immeuble d'appartements, il est nécessaire de connaître le schéma de connexion. Avec un traitement de l'eau indépendant à l'aide de radiateurs en acier, il n'y aura aucune difficulté. Si le circuit est dépendant, ils découvrent d'abord les paramètres du liquide de refroidissement. Les produits sont conçus pour les caractéristiques suivantes :
- pression de service - 0,9 MPa, pour les modèles avec panneau de 1,4 mm - 1 MPa;
- la température maximale du liquide de refroidissement est de 120 ° C;
- poids du panneau 300 mm de haut - de 2,95 à 119,99 kg;
- poids d'un panneau d'une hauteur de 500 mm - de 8,18 à 89,84 kg;
- valeurs de pH admissibles - 8,3-9;
- Trous de connexion femelle 1/2 ″.
Le choix optimal pour les radiateurs est les systèmes de chauffage fermés. Ils réduisent les effets de la corrosion sur l'acier. Dimensions de l'instrument :
- hauteur - 300 et 500 mm;
- longueur de 400 à 3000 mm;
- profondeur - 80-200 mm.
Selon le modèle, les radiateurs sont équipés d'ailettes de convection. La tôle d'acier ondulée est soudée aux canaux verticaux. La puissance du dispositif de chauffage est augmentée. Une grille de sortie d'air et des bandes latérales sont installées en finition.Le nombre et les paramètres des radiateurs sont sélectionnés en fonction de la surface de la pièce chauffée.
La gamme

Le catalogue de la société contient des modèles classiques et universels. Les produits sont disponibles avec des doublures latérales et inférieures. Le fabricant propose une large gamme de tailles standard qui vous permettent de concevoir un système de chauffage optimal. Structurellement, les appareils se composent d'un, deux ou trois panneaux, plus des ailettes. Plusieurs types de radiateurs sont présentés dans le catalogue de l'entreprise. Ils diffèrent par la profondeur, le nombre de panneaux et la présence de nervures.
Variétés de batteries Prado :
- Le type 10 est le modèle le plus étroit (72 mm) et se compose d'une rangée de panneaux. Son plus est son prix abordable. Les inconvénients incluent une faible puissance de chauffe.
- Type 11 - les ailettes sont soudées à l'arrière du panneau à une rangée. Le produit est équipé d'une grille de sortie d'air et de bandes latérales.
- Le type 20 est un radiateur à deux panneaux, mais sans ailettes de convection. Il y a une grille dessus. Profondeur 82 mm.
- Type 21 - le modèle se compose de deux panneaux et de nervures entre eux. Le radiateur a reçu toutes les finitions nécessaires - une grille et des inserts latéraux.
- Type 22 - les pièces embouties sont disposées en deux rangées, un convecteur nervuré est soudé à chacune. La profondeur du produit est de 108 mm, une grille est installée sur le dessus, sur les côtés de la barre.
- Le type 30 est un radiateur à trois rangées sans ailettes. Le modèle Z est proposé sans calandre ni flancs. Version avec la lettre "V" avec connexion verticale.
- Type 33 - trois rangées de panneaux nervurés forment une profondeur de 172 mm. Le radiateur est entièrement équipé d'éléments de finition.
Classique du Prado
Pour les établissements ayant des exigences accrues en matière de propreté, les appareils de chauffage de la série Z-hygienic sont destinés. Ils sont dépourvus de nervures, de parois latérales et de caillebotis. Lors du marquage des produits, leur type et leurs dimensions sont indiqués. Par exemple : modèle Prado Classic 22-500-500 - radiateur avec raccordement latéral type 22, longueur 500 mm, largeur 500 mm.
Prado universel
Installation et fonctionnement
L'installation des radiateurs à panneaux s'effectue en peu de temps. Ils sont vendus assemblés, il ne reste plus qu'à accrocher l'appareil au mur et à le fixer aux tuyaux. Le placement des appareils est effectué selon les normes de SNiP. Selon le document, la distance entre le sol et le bas du panneau doit être de 7 à 20 cm, selon le type de produit. Les batteries sont généralement installées sous les fenêtres. Selon les instructions, la distance jusqu'au bord du rebord de la fenêtre est de 7 cm.
Les radiateurs panneaux sont installés une fois les travaux de finition terminés. Ils sont montés sur des supports propriétaires inclus dans le kit. Les détails vous permettent de réparer l'écart entre le mur et l'appareil.

Séquence d'installation :
- Faire des marquages pour fixer les attaches.
- Fixez les supports avec des chevilles ou encastrez-les dans du mortier de ciment.
- Retirez le film aux endroits où l'appareil est connecté aux tuyaux.
- Accrochez le radiateur sur l'étagère de montage.
- Connectez l'appareil aux tuyaux de chauffage.
- Installez un évent dans le tuyau de dérivation supérieur. Bouchez les prises inutilisées avec des bouchons.
- Un thermostat est installé dans les radiateurs Universal.
- Remplissez le système de liquide de refroidissement par la conduite de retour pour éviter les poches d'air.
Lors de l'installation d'appareils d'une longueur supérieure à 1400 mm, les experts recommandent une connexion diagonale. Le liquide de refroidissement est alimenté par le haut et sort du côté opposé par le bas.
Caractéristiques de fonctionnement

Les radiateurs panneaux ont une petite section de conduit vertical. Cela affecte la sensibilité à la contamination du liquide de refroidissement. Un liquide avec une grande quantité de matières en suspension et d'impuretés colmatera rapidement les collecteurs. Dans les systèmes individuels, il est facile de contrôler la qualité du liquide de refroidissement utilisé ; dans les immeubles d'habitation, des filtres devront être installés pour piéger la saleté.
Le fabricant ne recommande pas de vidanger l'eau des appareils plus de 15 jours par an. Une exposition prolongée au liquide entraîne une corrosion rapide du métal. Les radiateurs doivent être lavés au moins 3 à 4 fois par an. Ne pas utiliser de matériaux abrasifs.
Les radiateurs Prado sont appréciés des consommateurs en raison de leur fiabilité, de leur longue durée de vie et de leur dissipation thermique élevée.










