Les technologies industrielles sont généralement associées à la libération de poussière, de substances nocives, de chaleur ou d'humidité. D'autres nécessitent la création de certaines conditions microclimatiques. La ventilation des bâtiments industriels devrait fournir des conditions pour le travail des employés, des équipements et la résolution des problèmes technologiques. Et en même temps, respectez les normes de sécurité environnementales et sanitaires.
- Exigences de ventilation industrielle
- Types de ventilation industrielle
- Équipement de ventilation industrielle
- Ventilation d'urgence des bâtiments industriels
- Calcul de la ventilation industrielle
- Calcul des rideaux d'air
- Calcul des hottes de ventilation
- Calcul de la chambre d'extraction de ventilation
- Aspiration embarquée et leur calcul
- Installation de ventilation industrielle
- Entretien et nettoyage de la ventilation industrielle
Exigences de ventilation industrielle

Les systèmes de ventilation industriels sont conçus pour gérer de grands volumes d'air, des vitesses et des pressions élevées. Lors du calcul du système de ventilation d'un bâtiment industriel, il est nécessaire de prendre en compte un certain nombre d'exigences obligatoires:
- Sanitaire et hygiénique. Les rejets nocifs sont localisés et éliminés le plus rapidement possible, une température confortable pour le personnel est maintenue sur le lieu de travail ;
- Acoustique. Le bruit émis par l'équipement doit être conforme aux normes acceptées;
- Sapeurs pompiers. Les composants de ventilation industrielle pour les locaux sont sélectionnés et installés en tenant strictement compte des exigences de sécurité incendie;
- Opérationnel. Lors de l'installation de la ventilation industrielle, le besoin d'inspections, de nettoyage et de réparations à l'avenir est pris en compte;
- Économie d'énergie. L'équipement doit fournir un effet maximal avec une consommation d'énergie minimale ;
- Environnemental. Aucune émission industrielle ne doit atteindre l'environnement.
Types de ventilation industrielle

Il existe quatre types de ventilation industrielle :
- Echange général. Tout le volume d'air ambiant est impliqué dans le processus.
- Local. Sert une zone allouée à partir de la zone générale.
- Local. Extrait les émissions directement d'où elles proviennent.
- Combiné. Utilisé si un type n'est pas assez efficace. Exemple : une cabine de peinture de voiture, dans laquelle une éruption locale est installée directement depuis le chantier de peinture et un système d'échange général dans la pièce. Cette combinaison empêche la propagation du brouillard de peinture et des vapeurs de solvant.
Un certain nombre de processus technologiques nécessitent des types particuliers de systèmes de ventilation:
- technologique;
- anti-fumée;
- urgence.

Les systèmes répertoriés peuvent fonctionner à tirage naturel ou forcé.
Avec le tirage naturel, la ventilation d'une entreprise industrielle est assurée par la gravité et le vent, alors qu'elle est forcée par une variété de mécanismes, principalement des ventilateurs.
La qualité et l'intensité de la ventilation industrielle naturelle dépendent des conditions météorologiques, ainsi que de la présence de fentes et d'ouvertures spéciales dans les clôtures verticales du bâtiment.
Pour induire la traction, des déflecteurs sont souvent utilisés et l'échange d'air est activé en raison de l'aération.
Avec un système forcé, les masses d'air se déplacent le long de conduits d'air spécialement équipés grâce au travail de mécanismes. Une telle ventilation d'un local industriel peut être une extraction, une alimentation ou une alimentation et une extraction.
La hauteur d'installation des dispositifs d'alimentation en air est de 1,5 à 2,0 mètres du niveau du sol et les dispositifs d'évacuation aussi haut que possible jusqu'au plafond.
S'il est nécessaire d'évacuer de grands volumes d'air, une ventilation industrielle de soufflage et d'évacuation est installée.
La teneur en composants nocifs de l'air extrait par les systèmes locaux est plus élevée que dans l'air extrait par la ventilation industrielle d'alimentation et d'extraction. Par conséquent, en tant que ventilation des bâtiments industriels, les systèmes locaux sont plus efficaces.
Équipement de ventilation industrielle

La ventilation générale a pour fonction de purifier l'air en diluant l'air pollué avec de l'air pur. Il fonctionne selon le schéma entrée-soufflage et permet de filtrer l'air évacué.
L'air est fourni et évacué par des éjecteurs ou des ventilateurs à travers des conduits d'air. Pour collecter la poussière, des récepteurs ou des filtres de poussière et de gaz sont équipés. L'air est chauffé par des réchauffeurs d'air, refroidi par pulvérisation d'humidité. Il est introduit dans l'atelier par les buses d'alimentation.
La ventilation locale d'une entreprise industrielle crée le microclimat nécessaire dans une ou plusieurs zones distinctes.
Les paramètres suivants sont utilisés :
- douche à air;
- rideaux d'air et rideaux aérothermiques;
- oasis de l'air;
- ventilation de zone;
- hottes;
- boîtiers de protection et anti-poussière;
- aspiration embarquée;
- parapluies d'échappement;
- panneaux d'aspiration;
- installations de ventilation.
Ventilation d'urgence des bâtiments industriels
La ventilation d'urgence est utilisée dans les bâtiments et locaux industriels en cas d'émissions d'urgence de substances dangereuses ou explosives.
La ventilation d'urgence est démarrée à distance. Les équipements utilisés sont des communications de secours et principales de ventilation industrielle générale, ainsi que des unités d'aspiration locales qui ne fonctionnent qu'en mode secours.
La hauteur du placement de l'équipement d'échappement d'urgence dépend du poids spécifique des émissions possibles. Les systèmes d'alimentation d'urgence ne sont pas fournis.
Calcul de la ventilation industrielle

Les exigences pour la conception et le calcul de la ventilation industrielle dépendent de la nature de la production. Les normes sont élaborées pour chaque type de production et sont indiquées dans des ouvrages de référence spécialisés.
Le taux de renouvellement d'air est l'un des premiers indicateurs nécessaires au calcul de la ventilation industrielle de type renouvellement général. Avec son aide, les performances de l'équipement sont déterminées par la multiplicité:
P = n * h * s,
Où m - la fréquence d'échange d'air requise,s - la superficie de la pièce,h - la hauteur de la pièce.
La puissance de l'appareil de chauffage doit être déterminée lors du calcul du système de ventilation d'un bâtiment industriel :
ici T - différence de température de l'air à l'entrée et à la sortie (d'après le livre de référence),L - la performance du système,CV- capacité calorifique volumétrique de l'air.
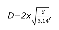
La section transversale des conduits est calculée comme suit:
ici L - performances des équipements,V - la vitesse de circulation de l'air dans le système.
Maintenant, le diamètre du conduit peut être calculé :
S - section transversale du conduit.
Les calculs prennent également en compte :
- types de pollution atmosphérique;
- fonctionnement simultané de machines;
- rayon d'émissions nocives;
- consommation d'air.
Pour la conception de la ventilation générale d'un bâtiment industriel, des indicateurs généraux suffisent parfois. Mais les systèmes locaux et locaux nécessitent l'élaboration de chaque élément dans chaque lieu de travail.
Calcul des rideaux d'air
Lors du calcul des rideaux aérothermiques, les indicateurs suivants sont déterminés:
- débit d'air massique;
- la zone de l'ouverture d'air couverte par le rideau;
- température de l'air du rideau ;
- perte de chaleur relative du rideau;
- largeur de la sortie du rideau à fentes;
- vitesse de l'air;
- chaleur dégagée par le rideau.
Calcul des hottes de ventilation
Le principal indicateur de la sorbonne, déterminé lors du calcul du système de ventilation d'un bâtiment industriel, est la quantité d'air évacué.Elle dépend de la toxicité et de la température du rejet et est calculée à l'aide de la formule des réactions avec absorption de chaleur (endothermique) :
L = u * F * 3600
Où vous - vitesse air admissible, la valeur est tirée du livre de référence.
La consommation d'air dans la sorbonne lors de réactions exothermiques (avec dégagement de chaleur) dépend de la configuration de la sorbonne et de la chaleur dégagée :
Où h - hauteur d'ouverture,Q - chaleur générée, W,F - la zone de l'ouverture.
Calcul de la chambre d'extraction de ventilation
Il est nécessaire de calculer la quantité de substances nocives rejetées dans l'air et la quantité qui doit être dépensée pour assurer la sécurité des travailleurs. Le calcul de cet élément de ventilation industrielle est effectué pour chaque composant dangereux séparément :
ici Gvr - le volume de substances nocives libérées dans la chambre,Spdk et St- la concentration et la concentration maximale admissible de cette substance à l'emplacement des personnes,PB et Paquet - la densité de l'air sur le lieu de travail et, en général, dans la chambre.
La concentration maximale admissible de substances dangereuses dans la chambre est la quantité maximale qui ne provoque pas de maladies professionnelles pour les personnes.
Aspiration embarquée et leur calcul
Vous pouvez calculer manuellement ces éléments de ventilation industrielle à l'aide des formules du manuel de V.N. Bogoslovsky ou prendre des figures toutes faites du livre de référence AZ-782.
Installation de ventilation industrielle

L'installation d'une ventilation industrielle diffère par les matériaux et l'ampleur des travaux, ainsi que par les exigences élevées en matière de composants et de qualité d'assemblage. Par conséquent, de nombreuses entreprises prennent en charge l'ensemble du processus, de la coupe des raccords de ventilation industrielle à la mise en service. C'est la seule façon de garantir un résultat vraiment de première classe.
Lors de l'installation de la ventilation d'une installation industrielle, au moins 70% de la surface des conduits d'air doit tomber sur des sections droites. Cela évite les pertes de performances.
Lors de l'installation d'une ventilation industrielle, utilisez généralement des conduits d'air métalliques de section rectangulaire ou ronde. Les conduits d'air et les raccords pour la ventilation industrielle, découpés dans une tôle d'acier de 1 mm d'épaisseur, ne fondent pas à une température de flux d'air allant jusqu'à 80 degrés et à une humidité élevée.
Tous les travaux d'installation de ventilation industrielle sont réglementés dans le SNiP 3.05.01-85. Vous y trouverez des informations sur la qualité du matériau, les températures de chauffage maximales admissibles, la méthode de laminage (tôle), etc.
Si le type de ventilation industrielle prévu transporte des mélanges gazeux, des conduits d'air d'une épaisseur de paroi d'au moins 1,5 mm en métal ou en métal-plastique sont installés.
Exigences pour le placement des diffuseurs d'air :
- Les flux d'air soufflé ne coupent pas les torchères d'aspiration locales.
- Il est interdit de monter des distributeurs d'air au-dessus de lignes ou d'équipements technologiques.
- Les conduits d'alimentation en air ne doivent pas interférer avec la production principale.
- Les distributeurs d'air sont installés au-dessus des passerelles et des lieux de travail afin qu'il y ait une distance minimale entre la zone où se trouvent les personnes et le distributeur.
- Le type de diffuseurs d'air est sélectionné en fonction des spécificités de la technologie de production.
Entretien et nettoyage de la ventilation industrielle

Les experts effectuent des diagnostics périodiques, des tests, des réparations, des réglages, le remplacement de filtres de divers types et le contrôle des indicateurs d'air dans le système de ventilation d'une entreprise industrielle. Les équipements de ventilation sophistiqués sont une source de danger accru, car un nettoyage intempestif de la chambre de ventilation de la poussière peut entraîner un incendie dans une entreprise industrielle, et la saleté dans les conduits d'air peut être une source d'infection par des microbes pathogènes pour des centaines de personnes.
La fréquence d'entretien et de nettoyage de la ventilation industrielle dépend principalement de l'intensité d'utilisation. Ainsi, dans une usine de montage de meubles, le nettoyage et les inspections sont effectués une fois tous les 6 mois. Alors que dans les usines de transformation des aliments, la ventilation d'alimentation et d'évacuation est nettoyée et désinfectée tous les mois.
L'organisation du service, le diagnostic et le nettoyage de la ventilation d'une entreprise industrielle sont à la charge de la direction. En effet, la santé et l'aptitude au travail des salariés, le fonctionnement des équipements et l'état de l'environnement dépendent souvent de la propreté de l'air dans les ateliers.
Le nettoyage et l'entretien de la ventilation industrielle ne sont autorisés qu'aux entreprises qui ont une licence spéciale, des certificats et des approbations.
Et voici à quoi ressemble le processus de nettoyage de la ventilation dans une grande usine :













