L'approvisionnement en eau et l'assainissement sont inclus dans l'aménagement des bâtiments et des structures où une personne vit, se repose et travaille. L'installation des réseaux d'approvisionnement en eau et d'assainissement est réalisée selon des projets individuels.
- Comment est la conception de l'approvisionnement en eau et des égouts
- Qu'est-ce qui est réglementé par SNiP dans la conception des services publics
- Effectuer les calculs nécessaires
- Choix des matériaux
- Étapes et caractéristiques de l'aménagement des réseaux d'approvisionnement en eau et d'assainissement
Comment est la conception de l'approvisionnement en eau et des égouts

La conception des systèmes d'approvisionnement en eau et d'assainissement se fait par étapes. Recueillir les premières informations sur l'objet : schéma directeur avec communications, caractéristiques géologiques, conditions techniques. Sur la base des données reçues, une tâche technique est formée et un projet est élaboré.
Le développement de projet résout les tâches suivantes :
- Calcul de la consommation d'eau, de la pression d'eau requise, du volume de déchets.
- Elaboration d'un plan d'adduction d'eau et d'assainissement.
- Sélection des matériaux et équipements.
Tout d'abord, la source d'eau potable est déterminée : un système central d'approvisionnement en eau, un puits ou un puits. Si les réseaux de la ville ne sont pas raccordés, choisissez un mode d'obtention d'eau chaude adapté : échangeur de chaleur, chauffe-eau électrique ou chaudière à gaz.
Attribuez le site d'installation de la fosse septique s'il n'y a pas de raccordement au système d'égout général. La fosse septique est conçue à une distance de 30 m du puits et la colonne montante d'égout principal est située au mur le plus proche. Un plan extérieur d'adduction d'eau et d'assainissement est dressé jusqu'au point d'entrée dans les fondations du bâtiment.
Établir un schéma du câblage interne des tuyaux d'eau et d'évacuation indiquant les longueurs, les diamètres, les points d'installation des équipements de plomberie. Les projets de câblage de réseaux d'objets à plusieurs étages sont réalisés sur une ou plusieurs colonnes montantes verticales.
Le nombre d'appareils de plomberie et d'utilisateurs détermine la hauteur manométrique requise, la consommation d'eau, le volume d'évacuation. Ces caractéristiques sont calculées, les diamètres des canalisations, les paramètres de la station de pompage sont définis.
Le diamètre du tuyau d'évacuation extérieur principal détermine l'angle de pente :
- Ø 110 mm - 0,02
- Ø 160 mm - 0,008
Il n'est pas permis de diminuer et d'augmenter l'angle de pente du drain, car la capacité de transport du liquide est maximale si la valeur calculée est respectée.
Le choix des matériaux et des équipements est la dernière étape de la conception des systèmes d'adduction d'eau et d'assainissement. Les matériaux sont sélectionnés en tenant compte des conditions d'exploitation, de la charge du réseau, de la limitation des prix.
Les architectes incluent dans le projet la possibilité de modernisation, d'agrandissement, de rénovation du complexe à l'avenir. Cela vous permet d'éliminer les pannes et d'installer de nouveaux équipements pendant le fonctionnement sans frais inutiles.
Le projet d'approvisionnement en eau et d'assainissement terminé contient des dessins au sol, une note explicative avec des calculs, une nomenclature.
Qu'est-ce qui est réglementé par SNiP dans la conception des services publics

L'approvisionnement en eau et l'évacuation des eaux usées sont conçus sur la base du SNiP 2.04.01-85. Le document réglementaire prescrit un ensemble de règles selon lesquelles des plans d'approvisionnement en eau et d'assainissement sont élaborés pour les bâtiments résidentiels, les bâtiments publics et les entreprises industrielles. Les installations de traitement local sont conçues conformément au SNiP 2.04.03-85, en tenant compte des normes de construction des services régionaux.
Les conduites d'évacuation sont posées en ligne droite avec une pente donnée, qui ne peut pas changer.Les dispositifs de connexion et le changement de direction des tuyaux sont réalisés avec des éléments de connexion qui ont un angle de rotation lisse et profilé.
Il existe deux options pour organiser le système d'égout interne:
- Fixation ouverte des tuyaux aux murs, supports, plafonds.
- Installation cachée dans des conduits, des gaines, des structures de sol, des plafonds, des ouvertures murales avec scellement ultérieur.
Les canalisations internes sont protégées des dommages mécaniques, tandis que les canalisations externes sont isolées et enterrées sous le sol à la profondeur de conception. Les conduites d'égout sont dirigées vers le toit du bâtiment ou vers un puits d'évacuation préfabriqué pour la ventilation.
Les nettoyages sont conçus dans les endroits où les drains tournent, sur les impasses, sur les contremarches. Dans les bâtiments à plusieurs étages, des révisions de contremarche sont installées aux étages supérieurs et inférieurs, ainsi qu'aux étages au-dessus des indentations. Dans les maisons d'une hauteur de 5 étages, les révisions sont effectuées sur 3 étages.
Le document SNiP 2.04.01-85 réglemente le respect de règles supplémentaires dans la conception des systèmes d'approvisionnement en eau et d'assainissement dans les bâtiments construits dans des régions climatiques et naturelles spéciales. Ceux-ci comprennent le pergélisol et les sols d'affaissement, ainsi que les zones à risque sismique et minées.
Le respect des codes du bâtiment lors de la conception protégera le système contre d'éventuelles pannes et un fonctionnement incorrect à l'avenir.
Effectuer les calculs nécessaires
La conception des systèmes d'approvisionnement en eau et d'assainissement comprend des calculs de la pression d'approvisionnement en eau, de la consommation d'eau, du volume des eaux usées, ainsi que des estimations des coûts des matériaux. Les calculs sont raisonnables pour les bâtiments à plusieurs étages. Dans les petits bâtiments d'un étage, des solutions standard sont utilisées.
Le calcul de l'alimentation en eau est effectué pour déterminer la pression de l'eau sur les appareils de plomberie. Si la pression est insuffisante, des modifications sont apportées au plan d'alimentation en eau : la puissance de la pompe est augmentée, le diamètre et la longueur des tuyaux sont modifiés.
La perte de pression d'eau résultant de la sélection par les consommateurs et de la montée aux étages supérieurs est calculée par la formule :
Où:
- H - perte de charge (m),
- λ est le coefficient de frottement indiqué dans le marquage du tuyau,
- L - longueur de ligne (m),
- D - diamètre du pipeline (m),
- g - constante : 9,81 m / s2,
- V est la vitesse d'écoulement de l'eau (m/s).
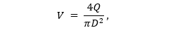
Formule pour déterminer la vitesse d'écoulement de l'eau :
Où:
- D est le diamètre intérieur du tuyau,
- - constante : 3,14,
- Q - débit d'eau (m3 / s), pris conformément à l'annexe 2 SNiP 2.04.01-85.
La consommation d'eau dépend du nombre d'habitants et du type d'équipements installés. Les valeurs des différents appareils et leur dépendance au nombre de consommateurs d'eau sont indiquées dans les tableaux du SNiP 2.04.01-85.
Le calcul hydraulique du drainage d'un diamètre allant jusqu'à 500 mm est effectué selon le nomogramme de l'annexe 9 SNiP 2.04.01-85, et pour les grands diamètres SNiP 2.04.03-85 est guidé.
Les calculs techniques complexes devraient être confiés à des ingénieurs d'études. Les spécialistes ne feront pas d'erreurs lors de l'élaboration d'un projet, ce qui garantit un fonctionnement sans problème des communications.
Choix des matériaux

Le projet d'approvisionnement en eau et d'assainissement comprend la sélection de canalisations avec les paramètres requis. L'industrie produit une large gamme de tuyaux pour l'eau potable domestique et les déchets liquides.
Matériaux de canalisation :
- métal-plastique,
- fonte,
- acier,
- cuivre,
- polyéthylène,
- polypropylène,
- chlorure de polyvinyle,
- fibre de verre,
- amiante,
- béton armé.
Les plus répandus sont les produits en polymères, métal-plastique, acier inoxydable. Les conduites d'eau internes sont en polypropylène PPRC, métal-plastique, polyéthylène réticulé PEX, acier inoxydable ondulé. Les tuyaux de descente internes sont en PP, PVC gris et HDPE.
Pour les systèmes d'alimentation en eau externes, des produits en PE et en polyéthylène avec une couche protectrice PE-RC sont utilisés. Les drains externes sont en polychlorure de vinyle orange, en polyéthylène ondulé et en PP ondulé à deux couches.
Le concepteur accepte le type de tuyaux, en s'appuyant sur les spécifications techniques du projet, les avantages, les inconvénients du matériau, et prend également en compte les souhaits du client.
Étapes et caractéristiques de l'aménagement des réseaux d'approvisionnement en eau et d'assainissement
Installer une source d'eau : une pompe, une station d'approvisionnement en eau autonome. Des filtres de purification d'eau sont installés. Une fosse septique ou une station de bio-épuration est en cours de construction. Une autre option pour donner est un réservoir de stockage ou un puisard.
Creusez des tranchées pour les conduites d'alimentation en eau et d'assainissement externes. Ils remplissent le fond des tranchées avec du sable, mettent de l'isolant sur les canalisations et les posent avec une pente donnée. Le drain dans le trou de la fosse septique non décanté est réglé librement jusqu'à ce qu'il se dépose. Des lignes sont amenées au bâtiment, connectées au réseau interne.
Les conduites d'eau sont susceptibles de geler en hiver, elles sont donc posées sous la profondeur de gel du sol. La meilleure option est que le puits et la pompe soient situés à l'intérieur de la dépendance, il n'y a donc pas besoin de conduites d'eau externes.
Les canalisations horizontales internes du premier niveau partent du point d'entrée avec une pente constante vers celui-ci. Aux étages suivants, une pente est réalisée jusqu'à l'endroit où la ligne rencontre la contremarche.
Le câblage des instruments se fait à l'aide de raccords. Les virages des lignes sont effectués avec des ferrures d'angle. Les colonnes montantes sont installées verticalement avec une sortie de ventilation sur le toit.
La dernière étape est le test et le débogage final des réseaux. Ils fournissent de l'eau, examinent les conduites avec des dispositifs pour détecter les fuites. Éliminez les défauts au besoin. S'il n'y a pas de lacunes, les canalisations internes sont fermées ou scellées et les canalisations externes sont recouvertes de terre.
Les canalisations cachées sont fermées après une inspection spéciale. L'eau leur est fournie sous une surpression, qui est conservée pendant plusieurs heures.
La conception des réseaux d'adduction d'eau et d'assainissement est indissociable de la construction d'installations où les personnes sont présentes. La fiabilité des communications dépend de la précision du projet.











