La marque Uniflair appartient à la société française d'ingénierie électrique Schneider Electric en tant que division indépendante. Uniflair Italia S.p.A a été fondée en Italie en 1988. L'entreprise a conçu et fabriqué des systèmes de refroidissement pour les salles de traitement, les refroidisseurs et les planchers surélevés modulaires. Après avoir rejoint la société française en 2010, la gamme de produits de systèmes de climatisation de haute précision s'est élargie, grâce à la combinaison des technologies des deux sociétés.
La division italienne de la société opère de manière indépendante. Il a une spécialisation très étroite contrairement à la société combinée. Parfois, ils sont confus et les produits de la société sont exposés sous la marque italienne. Par exemple, un système split domestique Schneider Electric peut être commercialisé en tant que système split Uniflair. La division de l'entreprise ne produit pas de climatiseurs domestiques, mais uniquement des équipements industriels pour armoires.
Les sites de production sont situés dans 8 usines dans la zone industrielle de l'Italie. L'équipement est développé ici. Vous pouvez être sûr que la plupart des équipements du fabricant sont conçus et fabriqués en Italie et ont une qualité européenne garantie.
Systèmes de climatisation fabriqués
L'équipement de refroidissement est conçu pour un fonctionnement continu sur une longue période (10 à 15 ans). Dans ce cas, la maintenance est censée être effectuée sans arrêt. Pour cela, les climatiseurs prévoient 2 ou plusieurs circuits redondants avec des compresseurs indépendants. Ou du matériel en double est installé. Précision du maintien du microclimat : 1°C à partir de la température de consigne et 5 % à partir de l'humidité de consigne.
Fondamentalement, de tels climatiseurs font partie de la conception intégrée de tous les équipements technologiques. Et les caractéristiques spécifiques de l'instance sont ajustées aux paramètres souhaités. Dans le même temps, l'équipement lui-même peut subir l'une ou l'autre modernisation, en fonction des besoins.
Présenté en plusieurs séries.
Amico
- Désignation de la série (S) ;
- Sortie d'air. U - haut, D - bas;
- Circuits de refroidissement. A - le condenseur est refroidi à l'air, C - refroidi à l'eau, W - le condenseur est refroidi à l'eau ;
- Type de soufflage. C - ventilateur conventionnel, V - ventilateur à commutation électronique ;
- Type d'alimentation. B - monophasé, A - triphasé.
Léonard
- Série (T) ;
- Sortie d'air. U - haut, D - bas;
- Circuits de refroidissement. D - condenseur refroidi à l'eau et refroidissement au fréon, E - compresseur à économie d'énergie ;
- Type de soufflage. C - ventilateur conventionnel, V - ventilateur à commutation électronique ;
- Type d'alimentation. B - monophasé, A - triphasé.
Mural
Performances à froid de 4 à 17 kW. Monobloc avec condenseur à air intégré.Installé de l'extérieur du mur.
Monobloc
Performances à froid de 5,7 à 12,3 kW. Monobloc pour installation intérieure. Un condenseur à air centrifuge est intégré à l'unité.
Non divisé
Performances à froid de 6 à 14,5 kW. Système divisé. Installation du climatiseur au mur ou au plafond (unité intérieure). Le circuit de refroidissement est au fréon.
Caractéristiques comparatives de plusieurs modèles
Les climatiseurs Unifler sont des systèmes complexes. Pour la compréhension, nous allons donner dans le tableau les caractéristiques de plusieurs blocs qui font partie des circuits généraux pour assurer l'opérabilité des équipements de haute technologie.
| Modèle | TDAR0922A | TDAR1822A | TDAR0921A |
| Puissance frigorifique, kW | 27,2 | 56,4 | 27,8 |
| Consommation électrique, kW | 9,4 | 21 | 10,7 |
| Aire desservie, m² | 190 – 272 | 394 – 564 | 194 – 278 |
| Niveau sonore, dB | 51,2 | 56,7 | 51,2 |
| Poids (kg | 447 | 714 | 430 |
| Dimensions (largeur / hauteur / profondeur), cm | 131/196/86,5 | 217,2/196/86,5 | 131/196/86,5 |
| Nombre de circuits de fréon, pcs | 2 | 2 | 1 |
Il est très difficile de juger du prix de tels systèmes, car ce ne sont pas des unités séparées, mais un ensemble complexe. Selon les tâches et les exigences techniques, il peut comprendre de nombreux composants. En plus de l'équipement lui-même, le coût comprend l'installation, la mise en service et la maintenance ultérieure. Vous ne pouvez acheter de tels équipements qu'auprès d'entreprises spécialisées.
Instructions pour le panneau de commande et les climatiseurs Uniflair
Habituellement, les instructions pour les climatiseurs sont accompagnées d'une documentation générale pour l'ensemble du système de refroidissement créé, ou font même partie de la description de systèmes de sécurité plus généraux.
Le manuel contient des recommandations pour le fonctionnement et la gestion des équipements spécifiques et en conjonction avec l'ensemble du complexe de systèmes. Parler d'un appareil séparé lors de la résolution de problèmes complexes peut être quelque peu conditionnel. Un tel équipement n'est envisagé que dans le cadre de son utilisation dans l'ensemble de la chaîne technologique.
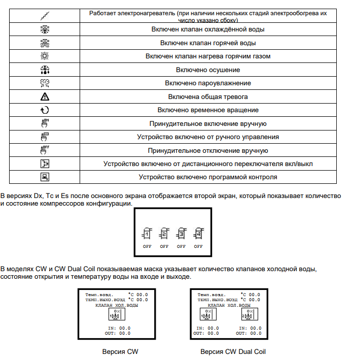
Le climatiseur est contrôlé par un système à microprocesseur. Des écrans, une télécommande pour un climatiseur et des connexions à divers réseaux d'information sont utilisés pour la programmation des modes, la surveillance du fonctionnement, l'indication des lectures et d'autres choses.
Codes d'erreur du climatiseur Uniflair
Les codes d'erreur sont unifiés. Mais étant donné que les systèmes de contrôle du microclimat sont créés individuellement de nombreuses manières, dans des cas spécifiques, il peut y avoir des écarts. Les climatiseurs Uniflair sont des appareils techniques complexes et disposent d'un système d'autodiagnostic avancé avec de nombreux capteurs et analyseurs logiciels de l'ensemble du système.
Les codes de défaut sont affichés sur divers périphériques d'E/S. Une description des codes est jointe à chaque appareil. Si ce n'est pas le cas, il est fortement recommandé de contacter le Centre de support des opérations. Les systèmes sont coûteux, dont dépendent les performances des équipements de haute technologie. Le dépannage vous-même peut entraîner une défaillance critique de l'équipement.
Critiques d'utilisateurs
L'équipement configuré et correspondant aux spécifications techniques fonctionne comme une horloge. Des complications surviennent au cours des étapes de conception et de mise en œuvre.
Un point relativement faible des systèmes de cette société peut être considéré comme les moteurs électriques des unités extérieures et les régulateurs de pression de condensation.
Vous devez également faire attention à l'environnement dans lequel le climatiseur fonctionne. Ils n'aiment pas l'air pollué et l'eau non filtrée. L'équipement reste opérationnel en cas de mauvaises conditions, mais des changements plus fréquents des filtres à air et des réservoirs d'humidificateur sont nécessaires.























