L'équipement Whirlpool a longtemps conquis les acheteurs avec sa fiabilité, sa qualité de construction et ses performances stables. Il en va de même pour la technologie climatique de la marque. Les développeurs suivent attentivement les dernières tendances dans la production de systèmes de climatisation, introduisent les technologies modernes à temps et restent donc parmi les leaders dans la production et la vente de leurs produits. Systèmes split Whirlpool - une solution élégante pour les pièces avec n'importe quel intérieur, les unités intérieures design élégantes plairont aux connaisseurs de la technologie climatique. Des modèles compacts de climatiseurs peuvent être utilisés toute l'année, créant un confort pour les résidents ou les employés des entreprises.
Principales gammes de climatiseurs
Le catalogue contient de nombreux modèles, parmi lesquels tout acheteur trouvera exactement ce dont il a besoin.
Série AMD
- climatiseur au sol Whirlpool.
- systèmes de division domestique.
Les climatiseurs mobiles peuvent être utilisés même lorsqu'il est impossible d'installer un système split mural. Les avantages de l'appareil incluent:
- la présence d'un adaptateur pour l'installation du tuyau de sortie d'air chaud;
- maintenir la température spécifiée en mode automatique;
- la présence d'un régime de déshumidification;
- la possibilité d'activer le mode de ventilation;
- la présence d'une télécommande pratique :
- la possibilité de régler une minuterie pour allumer et éteindre l'appareil.
Les climatiseurs de la série sont les plus achetés, les plus abordables et les plus fiables. Pratiquement tous ont la technologie brevetée de Whirlpool 6e Sense ", qui sélectionne automatiquement le mode souhaité, tandis que les utilisateurs peuvent modifier la température de deux degrés, ressentant un certain inconfort.
Série AMC
- Certains modèles fonctionnent sur une superficie allant jusqu'à 65 m². m, ils conviennent donc aux bureaux spacieux.
- La puissance élevée des modèles vous permet d'atteindre rapidement les températures requises.
Cependant, le niveau sonore des climatiseurs de la série AMC est assez élevé, ce qui provoque le maximum de plaintes des utilisateurs. Le réfrigérant utilisé est également inférieur au R410A, plus respectueux de l'environnement.
Série Essentiel
- Possibilité de sélection automatique du mode de fonctionnement.
- Réglez la minuterie pour allumer et éteindre l'appareil.
- Fonction mode nuit pratique.
- Redémarrage automatique.
- Niveau sonore assez faible.
- Conception élégante des unités intérieures.
Série Spow
- Une fonction d'autonettoyage qui aide les propriétaires à prendre soin de leur équipement de climatisation. L'entretien préventif est requis moins fréquemment.
- Lorsque vous activez le mode "Nuit", l'énergie est économisée, il n'est pas nécessaire de surveiller vous-même le climatiseur, d'allumer et d'éteindre l'appareil.
- La fonction d'auto-diagnostic aide en cas de pannes, d'erreurs pendant le fonctionnement.
- La sélection automatique du mode convient à ceux qui aiment la commodité et la facilité d'utilisation.
- Un niveau de bruit assez faible ne vous « coupera pas les oreilles » pendant le repos et le sommeil.
- Un filtre désodorisant a été installé pour empêcher les odeurs étrangères telles que la fumée de cigarette de pénétrer dans la pièce.
Il est important de choisir le bon modèle de climatiseur en fonction de la taille de la pièce, des fonctions requises et de la taille du portefeuille.
Comparaison des caractéristiques des modèles populaires
| Modèle | 412 | amd 010 1 | am 097 |
| Surface | 35 m² m | 20 m² m | Jusqu'à 30 m² m |
| Mode de refroidissement : puissance, W | 3500 | 2100 | 3300 |
| Mode de chauffage : puissance, W | 3700 | 2200 | — |
| Réfrigérant | R410A | R410A | R410A |
| Niveau de bruit de l'unité intérieure, dB | 28 – 40 | 33 – 38 | 54 |
| Fonctions supplémentaires | Possibilité de mémoriser les réglages, système de dégivrage, filtre désodorisant | Mode automatique, possibilité de réguler le débit d'air, mode de climatisation automatique | Minuterie, maintenant la température réglée automatiquement, filtres de purification d'air |
Instructions pour la console et les climatiseurs Whirlpool
Tous les climatiseurs Whirpool sont des télécommandes. À l'aide du panneau de commande, il est facile de sélectionner le mode, de changer la température de l'air, de changer la direction du flux d'air. L'air refroidi du système split ne soufflera pas sur vous avec les bons réglages. La télécommande du climatiseur Whirlpool est pratique et facile à utiliser pour ceux qui sont déjà familiarisés avec la technologie climatique et ceux qui ont d'abord acheté un système split. Les touches suivantes sont présentées sur la télécommande, une description plus détaillée du fonctionnement est présentée dans la notice :
- Pour allumer ou éteindre le climatiseur, utilisez le "Allumé éteint».
- Pour sélectionner un mode de fonctionnement, utilisez le "Mode».
- En utilisant le bouton "Ventilateur»Le ventilateur démarre et ne fonctionne pas pour le chauffage ou le refroidissement. Le ventilateur souffle de l'air frais dans la pièce, qui est passé par le système de filtration du climatiseur.
- Le bouton "Se balancer»Vous pouvez régler la direction du flux d'air.
- Le mode nuit est activé en appuyant sur la touche "Dormir».
- Bouton "Minuterie Marche / Arrêt»Est nécessaire pour ne pas contrôler le climatiseur, mais uniquement pour régler l'heure exacte d'extinction de l'appareil.
- Le mode économie d'énergie est activé en appuyant sur la touche "Économie d'énergie».
- Pour régler le niveau de bruit à la valeur minimale, appuyez sur le bouton «Super silencieux».
- Bouton de la télécommande "Faible»Est nécessaire pour connecter / déconnecter le rétroéclairage sur l'unité intérieure du système split.
- Bouton "Jet»Est présent uniquement dans les modèles qui ont la fonction de refroidissement rapide, le fonctionnement de l'appareil à puissance maximale.
La télécommande nécessite des piles pour fonctionner. Si le signal entre la télécommande et l'unité située dans la pièce est absent ou est perdu, alors les piles doivent être remplacées. Pour le bon fonctionnement de la télécommande, des piles de haute qualité sont nécessaires, veillez également à respecter la polarité lors de l'installation.
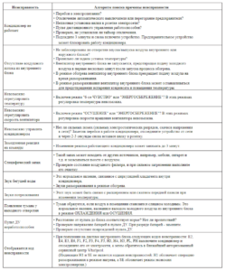
Codes d'erreur du climatiseur Whirlpool
Lors du choix et de l'achat d'un équipement climatique, la première chose à laquelle il faut penser est l'installation professionnelle d'un climatiseur. Il est préférable de ne pas connecter l'appareil vous-même afin d'éviter d'endommager l'appareil et d'annuler la période de garantie. Souvent, les acheteurs commandent le raccordement d'équipements à des fournisseurs d'équipements, ainsi qu'à des centres de service spécialisés qui fournissent une assistance professionnelle pour la maintenance et l'installation de systèmes split. Des mesures préventives, un nettoyage en temps opportun sont également importants pour maintenir les conditions de fonctionnement du climatiseur.
Les utilisateurs doivent surveiller de manière indépendante la santé de l'équipement, et un système d'auto-diagnostic spécialement fourni aidera à cela, ce qui déterminera avec précision la nature du problème. Les codes d'erreur des climatiseurs sont indiqués dans le manuel d'instructions de l'appareil. Cependant, ce système de code n'est pas installé sur tous les climatiseurs Whirlpool. C'est pourquoi il est important de connaître les principaux symptômes d'un dysfonctionnement :
- fuite de l'unité intérieure ;
- pénétration d'humidité dans le panneau du climatiseur;
- surchauffe constante du câble d'alimentation;
- forte odeur pendant le fonctionnement de l'appareil ;
- cliquetis et autres bruits parasites qui se produisent pendant le fonctionnement.
Quel que soit le dysfonctionnement, il est fortement déconseillé de réparer soi-même le climatiseur, notamment lorsqu'il s'agit de démonter l'appareil.
Critiques d'utilisateurs
S'il parle de systèmes divisés, la plupart des critiques sont positives. Les utilisateurs notent le design plus attrayant, la polyvalence, la présence de modes de refroidissement, de déshumidification, de ventilation et de chauffage. Cependant, la superficie des locaux traités diffère de celle déclarée par le fabricant. En outre, les utilisateurs ont des questions lorsqu'ils modifient la direction du flux d'air. Il est nécessaire de régler à l'aide de la télécommande, ainsi que manuellement. Le manque de mémorisation des derniers réglages est également un motif d'insatisfaction des clients, car les utilisateurs apprécient la possibilité de mémoriser la température et les modes de fonctionnement.
Les avis sur les climatiseurs mobiles ne sont pas si clairs. Malgré la facilité d'utilisation, le panneau de commande convivial, les utilisateurs notent un niveau de bruit élevé par rapport aux systèmes split muraux. Avec de tels sons provenant de l'appareil, vous ne pourrez pas vous reposer ou dormir. De tels climatiseurs au sol conviennent mieux au refroidissement de petits espaces jusqu'à 20 mètres carrés. Les indicateurs déclarés par le constructeur sont souvent remis en cause lors de l'utilisation de tels dispositifs. Les avantages incluent le fait que l'appareil est portable et peut être installé dans absolument n'importe quelle pièce en termes de configuration.
En général, les climatiseurs Whirlpool peuvent être utilisés à la fois à la maison et dans les bureaux. L'équipement climatique de cette entreprise est de haute qualité, abordable, acheté pour une utilisation à long terme, soumis aux règles de fonctionnement spécifiées dans les instructions pour les climatiseurs à remous.




















